• 头条北方工业大学作者特稿:基于滤波分配法的混合储能优化控制策略
    2021-03-18 作者:陈亚爱 林演康 等  |  来源:《电工技术学报》  |  点击率:
    分享到:
    导语本文针对混合储能城轨交通供电系统采用基于阈值控制的双闭环和滤波分配控制策略时,在城轨列车制动暂态过程存在超调过大、惰行及制动过程存在储能元件之间能量循环问题,提出变增益控制策略和改进型功率分配控制策略,较之传统控制策略,电压外环动作时间更快,母线电压超调量下降90%,抑制储能系统内部功率循环,提高了充电裕量,提升混合储能系统的回馈功率吸收能力,延长储能元件使用寿命。

    团队介绍

    北方工业大学作者特稿:基于滤波分配法的混合储能优化控制策略

    陈亚爱

    陈亚爱,北方工业大学教授,硕士生导师,中国电源学会常务理事,中国电源学会信息系统供电技术专业委员会副主任委员,中国电源学会直流电源专业委员会秘书长,中国电源学会变频电源与电力传动专业委员会委员,中国机械工业教育协会电气工程及其自动化学科教学委员会电力电子与电力传动分委会委员,北方工业大学电气工程及其自动化专业工程教育专业认证负责人,北京市“新能源发电与智能电网”高水平创新团队主要负责人,长期从事电力电子与电力传动、新能源变换与控制技术及其工业应用的研究。

    研究领域主要包括分布式新能源发电与智能微电网系统、柔性直流输电技术、储能功率变流器控制技术。承担多项国家、省部级课题和企业委托项目,第1作者或完成人发表学术论文76篇、教改论文23篇,授权发明专利6项,获省部级科技进步奖4项,出版科研著作2部、教材10部,其中两部获北京市精品教材,译著3部。

    北方工业大学作者特稿:基于滤波分配法的混合储能优化控制策略

    周京华

    周京华,教授,博士生导师,中国电源学会理事。北京市“新能源发电与智能电网”高水平创新团队负责人,北京市科技新星,北京市中青年骨干教师,北京市优秀人才,长期从事新能源变换与控制技术及其工业应用的研究。

    研究领域主要包括分布式新能源发电与智能微电网系统、新能源柔性直流输电系统、储能变流器控制技术。承担多项国家、省部级课题和企业委托项目,第1作者或完成人发表学术论文70篇,授权发明专利11项,获省部级科技进步奖5项,出版科研著作1部、教材3部、译著3部。

    导语

    针对混合储能系统的城轨列车采用阈值控制的双闭环控制时,动态响应速度慢的问题,提出以空载母线电压为参考的变增益比例控制策略;为抑制储能系统内部能量循环,提出带选择性的滤波分配控制策略,抑制储能系统内部能量循环,以提高储能系统经济性。

    项目研究背景

     

    北方工业大学作者特稿:基于滤波分配法的混合储能优化控制策略

     

    为回收城轨列车制动产生的能量,并同时满足回馈功率密度和能量密度两方面要求,城轨牵引供电系统中需设置含超级电容和锂离子电池的储能装置。但是采用传统阈值控制时,电压外环超调过大可能引起回馈能量吸收失败;采用传统滤波分配控制时,列车功率需求减小阶段,混合储能系统内部会出现能量循环,导致储能装置容量利用率和系统经济性下降。

    论文方法及创新点

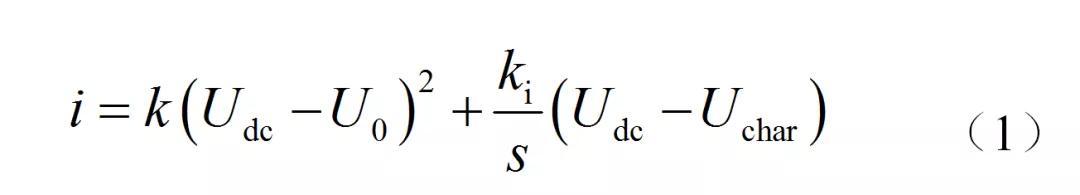
    采用传统基于阈值控制的双闭环控制会使系统母线电压Udc产生波动,Udc过高可致使回馈能量吸收失败、过低可致使耗能增加,这就需要混合储能系统有更快的母线电压响应速度。

    为解决上述问题,提出以牵引变电站直流母线空载电压U0为参考基值的变增益比例控制策略,当母线电压Udc快速升高时,Udc与U0比较后,将两者误差指数化后再进行标幺化,将该值作为电压环比例输出数值,其输出结果为

    北方工业大学作者特稿:基于滤波分配法的混合储能优化控制策略

     

    控制策略如图1所示。

    北方工业大学作者特稿:基于滤波分配法的混合储能优化控制策略

    图1 改进电压外环控制框图

    城轨列车加速到最大值时会有一段依靠惯性运行的时间,此时城轨列车不消耗能量,储能系统的功率指令为零。采用传统滤波分配控制时,锂电池组会因为截止过程滞后的原因继续向直流网供能,最后缓慢降至零;为保证储能系统总输出功率为零,超级电容对锂电池释放的能量进行吸收,导致功率循环。

    为解决该问题,提出改进的滤波分配控制策略,其原理如图2所示。

    北方工业大学作者特稿:基于滤波分配法的混合储能优化控制策略

    图2 改进的功率分配策略控制框图

    图2中,改进的选择性滤波分配控制策略对系统功率需求进行判断、分配:当列车功率需求变大时,实际功率需求绝对值大于滤波功率,控制器遵循传统滤波分配策略,此时混合储能系统的功率指令值为

    北方工业大学作者特稿:基于滤波分配法的混合储能优化控制策略

     

    而当列车需求功率减小时,实际功率需求绝对值小于等于滤波功率,此时实际需求功率全部由锂离子电池组承担,超级电容功率指令值为零。此时混合储能系统的功率指令值为

    北方工业大学作者特稿:基于滤波分配法的混合储能优化控制策略

     

    为进一步验证所提控制策略的优越性,搭建额定功率为0.3kW实验平台,其主电路拓扑如图3所示。

    北方工业大学作者特稿:基于滤波分配法的混合储能优化控制策略

    图3 混合储能系统实验平台结构

    采用传统控制策略时,母线电压超调为0.7%,且存在储能元件之间功率循环,母线电压波形和储能系统电流实验波形如图4所示。

    北方工业大学作者特稿:基于滤波分配法的混合储能优化控制策略

    图4 传统控制策略实验波形

    采用本文所提变增益比例积分和改进的滤波分配控制策略后,系统超调降低为0.07%,且无储能元件之间功率循环,实验波形如图5所示。

    北方工业大学作者特稿:基于滤波分配法的混合储能优化控制策略

    图5 改进型控制策略实验波形

    结论

    本文针对混合储能城轨交通供电系统采用基于阈值控制的双闭环和滤波分配控制策略时,在城轨列车制动暂态过程存在超调过大、惰行及制动过程存在储能元件之间能量循环问题,提出变增益控制策略和改进型功率分配控制策略,较之传统控制策略,电压外环动作时间更快,母线电压超调量下降90%,抑制储能系统内部功率循环,提高了充电裕量,提升混合储能系统的回馈功率吸收能力,延长储能元件使用寿命。

    引用本文

    陈亚爱, 林演康, 王赛, 周京华. 基于滤波分配法的混合储能优化控制策略[J]. 电工技术学报, 2020, 35(19): 4009-4018. Chen Yaai, Lin Yankang, Wang Sai, Zhou Jinghua. Optimal Control Strategy of Hybrid Energy Storage Based on Filter Allocation Method. Transactions of China Electrotechnical Society, 2020, 35(19): 4009-4018.