• 头条中压开关柜中硬导体的选用计算方法
    2021-10-09 作者:许铁军 李岳  |  来源:《电气技术》  |  点击率:
    分享到:
    导语对中压开关柜中硬导体的矩形导体的选择进行了计算和分析。计算结果表明,矩形硬导体的选择以导体的载流量为依据,而导体的载流量又与导体的材质、形状、颜色、安装形式及所处的环境温度有关。

    中压开关柜中的硬导体包括灭弧室的动、静导电杆,断路器手车的触臂和开关柜中的主母线、支母线、静触刀等。这些元件就决定了中压开关柜在正常工作时的载流能力,因而在中压开关柜的生产和选用过程中硬导体的选择是一个非常关键的因素。本文仅就开关柜中的主母线、支母线、静触刀等矩形硬导体的选择进行探讨。

    硬导体的种类

    1)载流导体一般使用铝或铝合金材料,其缺点是载流量小于铜导体,焊接困难,一般用在额定电流2500A以下的范围。

    铜导体一般在下列情况下使用:位于化工厂(其排除大量腐蚀性气体对铝质材料有影响者)附近的屋外配电装置;发电机出线端子处位置特别狭窄以及铝排截面太大穿过套管有困难时;持续工作电流在4000A以上的矩形导体,由于安装有要求且采用其它形式的导体有困难时。但从实际的应用来看,铜导体的应用较普遍。

    2)我国目前常用的硬导体形式有矩形、槽形和管形等。

    单片矩形导体具有集肤效应系数小、散热条件好、安装简单、连接方便等优点,一般适用于工作电流≤2000A的回路中。

    多片矩形导体集肤效应系数比单片导体的大,所以附加损耗增大。因此载流量不是随导体片数增加而成倍增加的,尤其是每相超过三片以上时,导体的集肤效应系数显著增大。在工程实用中多片矩形导体适用于工作电流≤4000A的回路。

    当工作电流为4000A以上时,导体则应选用有利于交流电流分布的槽形或圆管形的成型导体。槽形导体和管形导体的集肤效应系数小,电流分布比较均匀,散热条件好,机械强度高,但造价较高,安装也不方便。

    矩形导体截面的选择计算

    导体截面的选择有多种方法,考虑到中压开关柜一般都是长期工作制(大于8小时),故常用的是按工作电流进行选择计算。在长期工作制时电流流过导体时的产热和散热存在如下关系:

    产生的热功率=散热功率+自身温升的吸热功率,经过一定时间后,温升不再升高,进入稳态,此时,产生的热功率=散热功率。

    中压开关柜中硬导体的选用计算方法

     

    以上参数的取值可参考表1~4。

     

    中压开关柜中硬导体的选用计算方法

    表1 周围介质温度(环境温度)

     

    中压开关柜中硬导体的选用计算方法

    表2 矩形导体的集肤系数Kf

     

    中压开关柜中硬导体的选用计算方法

    表3 周围空气温度为+40℃时的允许温升

     

    中压开关柜中硬导体的选用计算方法

    表4 母线的物理参数

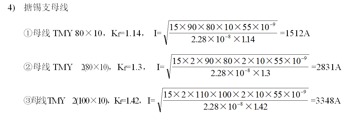
    应用举例

    (以硬铜母线为例,假设母线厚度为a,宽度为b,环境温度40℃,海拔高度1000m及以下。)

    中压开关柜中硬导体的选用计算方法

     

     

    中压开关柜中硬导体的选用计算方法

     

     

    中压开关柜中硬导体的选用计算方法

     

    以上结果是理论计算的数值,与实际情况还有一定的差别,应根据具体情况加以修正。例如母线表面涂无光泽的黑漆时,黑度系数约从0.5左右增加到0.9,散热效果明显增强,从而提高了载流量。

    另外,当母线外包热导率很小的绝缘层时,会造成绝缘层外的温度低于绝缘层内的温度,从而降低了载流量。目前常用的是工作电流630~1250A用硬铜母线TMY80X10,工作电流1600~2000A用硬铜母线TMY80X10双排,工作电流2500~3150A用硬铜母线TMY100X10双排。

    有关矩形导体载流量的数据

     

    中压开关柜中硬导体的选用计算方法

    表5 矩形铝导体长期允许载流量(A)

    注:1)当导体为四条时,平放、竖放第2、3片间距离皆为50mm;2)铜截面铜导体载流量为表中铝导体载流量的1.27倍; 3)本表应用条件为导体工作温度+70℃,环境温度+25℃,导体表面涂漆,无日照,海拔高度1000m及以下。其他情况需将表中载流量数值乘以下表中的校正系数;4)电器的零部件温度过高,会导致机械强度降低和绝缘破坏,对于铜导体在100℃时其机械强度会降低到60%。

     

    中压开关柜中硬导体的选用计算方法

    表6 矩形钢导体长期允许载流量(A)

    母线接头处理

    1)为降低接头的接触电阻,接头组装前必须对接触面进行适当处理,常用是涂中性凡士林。

    2) 清除接触表面的氧化膜。

    清除氧化膜的方法包括锉、轻便的机械加工或用强力的钢丝刷在中性油脂下进行刷,加工好的接头表面面积不应小于原母线段等长度截面的97%;

    3)为了提高母线的允许运行温度,母线接头需经过镀银或搪锡处理。

    导体中银的性能最好,电阻率和硬度都小,低温下不易氧化,高温下其氧化物易还原成金属银,其氧化物电阻率也低,由于价格太贵,只能用于镀层。

    锡的优点是硬度小,氧化膜的机械强度也很低,尤其是在大电流导体需要工作温度较高的情况下,在铜、铝接头上镀银和搪锡都有现实意义。

    其连接原则如下:

    • 铜—铜:在干燥的屋内可直接连接,屋外、高温且潮湿的屋内或对导体有腐蚀性的屋内,接触面必须搪锡;
    • 铝—铝:在任何情况下可直接连接,有条件时宜搪锡;
    • 钢—钢:在任何情况下接触面必须搪锡或镀锌;
    • 铜—铝:在干燥的屋内可直接连接,屋外或特别潮湿的屋内,应使用铜铝过度接头;
    • 钢—铝:在任何情况下钢的接触面必须搪锡;

    4)母线与母线、引下线或设备端子连接时,一般按通过电流及所连接的金属材料的电流密度计算所需的接触面积,以免接头过热。矩形导体接头的搭接长度不应小于导体的宽度。当设备端子的接触面积不够时,可加设过渡端子。当母线与螺杆端子连接时,应用特殊加大的螺帽。导体无镀层接头接触面积的电流密度不应超过下表数值。

     

    中压开关柜中硬导体的选用计算方法

    表7 无镀层接头的电流密度(A/mm2)

    母线表面的处理

    1)对沿海露天及电化腐蚀严重的其他腐蚀性较强的大气中,还应涂抗氧化漆。

    2)母线表面涂无光泽的黑漆时,黑度约增加到0.9,以易于辐射散热,不利处是对太阳辐射热的吸收增强,因而最好的办法是母线表面和开关柜的内表面涂无光泽的黑漆,开关柜的外表面涂浅色油漆。

     

    中压开关柜中硬导体的选用计算方法

    表8 各种材料的黑度系数

    结论

    以上是中压开关柜中部分矩形导体的选用计算过程,其计算得到的结果与表5提供的数值是比较接近,说明这种选择计算方法是正确有效的。其它形状的导体,如棒状,管形,槽形导体的选用计算与此类同(选用的参数不同)。

    以上的计算对我们在中压开关柜的设计生产过程中,对载流导体的选择具有很大的帮助。

    本文编自《电气技术》,标题为“中压开关柜中硬导体的选用计算”,作者为许铁军、李岳。